運算放大器的基本分析方法:虛擬開路、虛擬短路。對於不熟悉的運算放大器應用電路,可以使用此基本分析方法。
運算放大器是一種應用廣泛的裝置。當連接到適當的回授網路時,它們可以用作精密交流電和直流放大器、主動濾波器、振盪器和電壓比較器。
- 運算放大器在主動濾波中的應用

上圖是典型的主動濾波電路(Saron-Kayl電路,巴特沃斯電路的一種)。主動濾波的優點在於可以使大於截止頻率的訊號衰減得更快,而且濾波特性不需要很高的電容和電阻。
本電路的設計重點為:在滿足適當截止頻率的條件下,R233與R230的阻值盡量選擇一致,C50與C201的電容選擇也盡量一致(兩級RC電路的阻容值相等時,稱為Saron-Kayl電路),這樣既能滿足濾波性能,又能使器件類型規範化。其中,電阻R280的作用是防止輸入懸空,造成運算輸出異常。
濾波最常用的三種二階主動式低通濾波器電路為:巴特沃斯、單調遞減、平坦最平滑曲線;
巴特沃斯低通濾波中最常用的是Saron-Kayl電路,它是類比電路。
對於濾波器,您需要知道它的截止頻率,或者您可以寫出傳遞函數和頻率響應。
如果濾波器還具有放大功能,則需要知道濾波器的增益。

當兩級RC電路的電阻值和電容值相等時,稱為塞倫卡電路。在二階主動電路中引入負回授,使輸出電壓在高頻範圍內迅速下降。
二階主動式低通濾波器電路的通帶增益為1+Rf/R1,與一階低通濾波器電路相同;



請注意,m 的單位是歐姆,N 的單位是 u

因此截止頻率計算為

切比雪夫,衰減迅速,但通帶內有波紋;
貝塞爾(橢圓),相移與頻率成正比,群延遲本質上是常數。
2.運算放大器在電壓比較器中的應用

此電路實際上是過零比較器和深度放大器電路的組合。
輸出經(1+R292/R273)放大,放大倍率越高,方波上升沿越陡峭。
這個電路中還有一個關鍵元件阻值要注意,那就是R275,它決定了方波的上升速度。
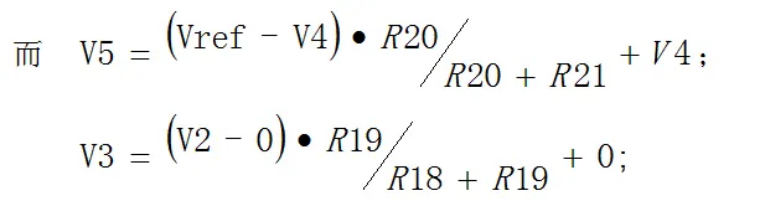
3.恆定電流源電路設計

如圖所示恆定電流原理分析流程如下:
U5B(上圖下方的運轉)為電壓跟隨器,因此V1=V4;
根據運算放大器的虛短原理,對於運算U4A(上圖的上方運算放大器):V3=V5;

結合上述方程,我們得到:

當參考電壓Vref固定在1.8V時,電阻R30為3.6,電流輸出恆定為0.5mA。
此恆定電流源電路可以用來設計其他電流的恆定電流源。其基本想法為:所有電阻需採用阻值一致的高精度電阻。輸入參考電壓(採用專用參考電壓晶片)除以電阻值即可得到輸出電流。
但在實際使用中,為了保護恆定電流源電路,一般會在輸出端串聯一個二極體和一個電阻。這樣做的好處首先是防止外部幹擾進入恆定電流源電路,造成恆定電流源電路的損壞,其次是防止外部負載短路,以免損壞恆定電流源電路。


5.熱電阻測量電路

上圖電路是典型的熱電阻/熱偶測量電路,其測量思路為:在負載上加一個1-10mA的恆定電流源,該恆定電流源會在負載上產生一定的電壓,該電壓經過主動濾波、信號處理後,對信號進行調整(信號放大或衰減),最後將信號送入ADC接口。
使用此電路時,請注意在輸入端施加保護。 TVS可以並聯,但要注意電容對測量精度的影響。當然,如果在一些低成本的場合,上述電路圖可以簡化為以下電路

在運算放大器的使用中,電壓跟隨器是常見的應用。這種電路的好處有:第一,它減少了負載對訊號源的影響;第二,它提高了訊號的帶負載能力。

7.單電源應用
在運算的實際使用中,我們一般會採用雙電源供電來維持運轉的頻率特性。但有時在實際使用上我們只採用單電源供電,也能達到運算放大器的正常運作。
首先,我們利用運算跟隨電路實現VCC/2分壓器:

當然,如果要求不是很高的話,也可以直接用電阻分壓得到+VCC/2,但由於電阻分壓的特性,其動態響應速度會很慢,請謹慎使用。
得到+VCC/2之後,我們就可以利用單一電源來實現訊號放大功能了,如下圖:

在該電路中,R66=R67//R68,訊號輸出增益G=-R67/R68。
具體應用如下圖所示:運轉採用單路+5V_AD供電,AD晶片電壓為3.3V(由基準電壓晶片REF3033取得),經電阻分壓後經運轉得到3.3V,送到運轉同相輸入端。





